跑步數據很常會聽到垂直震幅,然而就以力學角度而言,它的好壞小編以為大家應該都很懂呢。但我們還是可以來看看研究數據怎麼說的?

垂直震幅對於跑步表現的影響究竟多重要?
Running Technique is an Important Component of Running Economy and Performance
另外一篇研究如是說,主要在探討跑者動作的垂直震幅與關節運動學(每個關節之間的配合程度)與乳酸閾值速度以及跑步經濟效益的相關性。
利用了最大攝氧量在62 ml/kg/min與 53 ml/kg/min的男與女跑者,也同時參考了男與女之間的乳酸閾值速度。


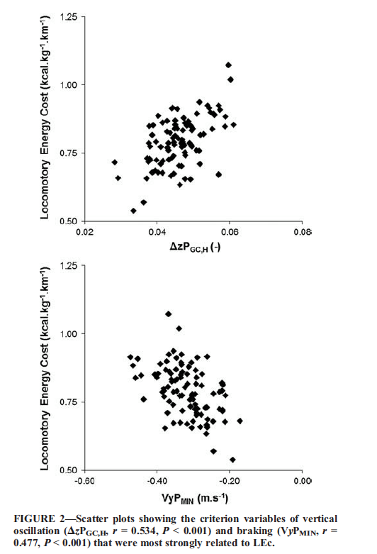
研究發現,垂直震幅在本身運動表現的相關性是呈現負相關-0.247(附圖一),從數據來看垂直震幅尤其是在骨盆與地面之間距離的換算,越小越穩定會影響運動表現,在煞車與本身運動表現的相關性是呈現正相關0.259(附圖二)從數據來看煞車力量越小相對越能夠節省力氣在跑步過程中,因此煞車也扮演著舉足輕重的角色。
本篇研究也做了另外一個大家比較容易出現的迷思解釋,大多數實驗研究跑速是10-12公里的時速,這速度是一般研究跑者經濟效益會使用的速度(非最大努力狀態),然而真正的競賽過程中,速度會遠超過實驗,因此,是為了推斷效率而討論,反倒是vLTP(乳酸閾值速度)對於運動表現的相關性高一點。

綜合垂直震幅與跑步反作用力的煞車效應做趨勢分佈圖,對應人體能量消耗狀態,則發現兩者的相關性都算高(附圖三)。那麼什麼方式可以改變垂直震幅呢?
ALTERING CADENCE OR VERTICAL OSCILLATION DURING RUNNING: EFFECTS ON RUNNING RELATED INJURY FACTORS
垂直震幅與保持低重心的跑步分析。
受試者平均跑齡是約十一年,跑量約是37公里,估計大概是超悠閒跑者(誤,其實比小編的跑量高)。
三種方式分析,第一種,開始從每秒1.5公尺的移動速度開始,每十秒加每秒0.1公尺,直到受試者覺得是舒服可以控制的速度。
第二種,利用物理治療師的口令『請你讓雙腳敲擊地面的次數增加10%』,來增加受試者的步頻,並維持三十秒的跑動。
第三種,利用物理治療師的口令『請你盡可能保持低重心,讓身體沒有任何彈跳的感受』,並維持三十秒的跑動。
然而,數據總是讓人有意想不到的結果。


在把頻率提高的過程中,相對的我們提高了落地時煞車效應的地面反作用力,反倒也讓『vGRF增加』。相較之下,保持低重心卻可以有這麼好的效果!!(參考附圖四,附圖五)
當然,這一切都比較要重新思考,因為本篇研究並沒有真的比對身體重心移動的軌跡,沒有影片的動作分析,是否失真?!有待商榷!
然而不可輕忽的是,一個口令『可能』改變跑者對於地面反作用力與煞車習慣。
實務應用:
跑者垂直震幅的下降,很多討論都來自下肢剛性(STIFFNESS),小編以為肌力才是最重要的,然而,肌力訓練方式非常多元,可以參考小編的『跑者肌力教室』影片,凡是跟『蹲,推,跳』都是很好的訓練,小編心中倒沒有覺得哪一種訓練最好。
但可以相信的是,簡單的口令的確很有可能改變跑者在運動過程中的表現,所以試著發展『Coaching Cue』也許會是不錯的趨勢。
至於提高步頻,會不會有這麼深的影響,小編以為一篇研究不足以太擔心,但的確也要小心謹慎在口令使用上,是否真的該告訴跑者『頻率快一點』,使得煞車效應提高,可以當作一個思考點。
共勉之,總算寫一篇運動生物力學的文,不然,自己都覺得快變生理學頭腦了。
重點摘要:
- 煞車效益其實比想像中重要,也就是如何學會在跑步動作週期中,由支撐順利轉換到擺動,是一門學問。
- 垂直震幅的確對動作表現是主要關鍵因素,然而乳酸閾值速度與個人運動表現相關性也是影響因子。
- 口令與頻率比你想像中重要。
各位對於速度訓練、體能訓練課程認證的朋友們,歡迎來向運動科學大師學習。早鳥方案只到8月底!運動科學百大名人、前美國田徑協會最高等級教官、現任CEO Of Athletic Lab:Dr. Mike Young 訪台重磅舉辦速度與體能訓練課程
報名連結→https://www.accupass.com/event/1907230734051576560937
圖文來源:Jogging Running Sprinting行動跑步教室













